Software: SimX - Nadelantrieb - Robust-Optimierung - Ausschuss-Problem: Unterschied zwischen den Versionen
KKeine Bearbeitungszusammenfassung |
|||
| Zeile 101: | Zeile 101: | ||
Für das sichere Konvergieren des Gesamtversagens gegen den Wert=0 hat sich folgende Vorgehensweise bewährt: | Für das sichere Konvergieren des Gesamtversagens gegen den Wert=0 hat sich folgende Vorgehensweise bewährt: | ||
* Für alle Restriktionsgrößen trägt man '''zulässiger Ausschuss = 0.003''' ein. Das entspricht mit 0,3% dem Anteil der Lösungen, der bei einer Normalverteilung außerhalb der Toleranz '''T=6·σ''' liegt. | * Für alle Restriktionsgrößen trägt man '''zulässiger Ausschuss = 0.003''' ein. Das entspricht mit 0,3% dem Anteil der Lösungen, der bei einer Normalverteilung außerhalb der Toleranz '''T=6·σ''' liegt. | ||
* | * Ein Ausschuss kleiner 0.3% ist praktisch irrelevant, weil er nur statistische Rechnen- und Approximationsfehler beinhaltet. Deshalb sollten kleinere Teilversagenswahrscheinlichkeiten bei der Berechnung des Gesamtversagens nicht berücksichtigt werden. | ||
* Diesen Wert von 0.003 kann man durch Beobachtung der Teilversagenswahrscheinlichkeiten während der Ausschuss-Minimierung bei Bedarf noch präzisieren. | * Diesen Wert von 0.003 kann man durch Beobachtung der Teilversagenswahrscheinlichkeiten während der Ausschuss-Minimierung bei Bedarf noch präzisieren. Unter Umständen ist ein etwas höherer Wert dafür erforderlich. | ||
* Das Gütekriterium "Versagen" ist nur ein Maß für das Gesamtversagen der Lösung. Der Wert ergibt sich als Summe der gewichteten Teilversagenswahrscheinlichkeiten. Im Normalfall sollte man für alle Restriktione '''Gewichtsfaktor=1''' setzen. | * Das Gütekriterium "Versagen" ist nur ein Maß für das Gesamtversagen der Lösung. Der Wert ergibt sich als Summe der gewichteten Teilversagenswahrscheinlichkeiten. Im Normalfall sollte man für alle Restriktione '''Gewichtsfaktor=1''' setzen. | ||
== Gütekriterien == | |||
'''Strafe:''' | |||
* Wird automatisch als Gütekriterium ergänzt, weil Restriktionen definiert sind. | |||
* Die "Hierarchische Optimierung wirkt dann wie folgt: | |||
** Zuerst werden Nennwerte (=Toleranzmittenwerte) gesucht, welche ohne Berücksichtigung der Streuungen alle Forderungen erfüllen. | |||
** Erst dann werden unter Berücksichtigung der Versagenswahrscheinlichkeit die Nennwerte so verändert, dass das Versagen kleiner wird. | |||
'''Versagen:''' | |||
* Wird automatisch ergänzt, weil Streuungen als Entwurfsparameter definiert sind. | |||
* Es handelt sich um ein Maß für die Gesamt-Versagenswahrscheinlichkeit einer Stichprobe: | |||
** Für jede Restriktionsgröße werden Teilversagenswahrscheinlichkeiten ermittelt. | |||
** Der Wert für das "Versagen" ergibt sich als Summe der gewichteten Teilversagenswahrscheinlichkeiten. Damit ist bei einer Ausschussquote=0 auch Versagen=0. | |||
Version vom 11. Januar 2009, 10:20 Uhr
Ausschuss-Minimierung

- Innerhalb des vorhandenen Streubereiches der Parameter-Streuungen muss der Antrieb sicher funktionieren.
- In diesem Streubereich müssen alle in Form der Restriktionen beschriebenen Forderungen eingehalten werden.
- Wir streben eine Versagenswahrscheinlichkeit von Null an.
Für das Finden dieser zuverlässigkeitsbasierten optimalen Lösung nutzen wir das gleiche Simulationsmodell, wie zur probabilistischen Simulation.
Wir haben schon einige Arbeit in die Konfiguration der Analyse-Experimente investiert. Deshalb wollen wir darauf aufbauend durch das erforderliche Optimierungsexperiment konfigurieren. Wir erweitern durch "Duplizieren" den Versuchsstand um ein weiteres Experiment zur "Ausschuss-Minimierung".
Statistische Versuchsplanung
Bei der zuverlässigkeitsbasierten Optimierung wird als Basis für die Bewertung nicht der einzelne Modell-Lauf, sondern die Berechnung einer kompletten Stichprobe benutzt:
- In der vorherigen Übungsetappe haben wir festgestellt, dass die Interaktionen zwischen den betrachteten Parameter-Streuungen vernachlässigbar sind.
- Wir werden deshalb für die probabilistische Simulation die Momenten Methode mit einem Polynomansatz 2.Ordnung ohne Berücksichtigung von Interaktionen verwenden.
- Das bedeutet eine wesentliche Reduzierung der benötigten Simulationszeit in Abhängigkeit von der Anzahl der berücksichtigten Streuungen:
Anzahl der | Polynom 2.Ordnung | ohne Interaktionen Streuungen | Läufe=2·n²+1 | Läufe=2·n+1 --------------------------------------------------- n=2 | 9 | 5 n=3 | 19 | 7 n=4 | 33 | 9 n=5 | 51 | 11
- Man erkennt deutlich, dass die Kenntnis über existierende Interaktionen zwischen den streuenden Parametern von grundsätzlicher Bedeutung für die Einsparung von Berechnungszeit ist.
Optimierungsverfahren
Im Unterschied zu den Sample-Verfahren ist bei den Momenten-Verfahren das "numerische Rauschen" bei der Simulation einer Stichprobe gering:
- Der entscheidende Unterschied der Momenten- zu den Antwortflächenverfahren liegt in der Berechnung der statistischen Verteilungen der Ausgangsgrößen. Nach der Ermittlung des Metamodells werden hier die statistischen Zentralmomente µ (Mittelwert, Varianz, Schiefe und Überhöhung) der Ausgangsgrößen aus den vorgegebenen Momenten der Eingangsgrößen auf der Basis der Ersatzfunktionen y(x) berechnet. Dadurch gibt es dabei keinen stochastischen Anteil infolge der virtuellen Stichprobe.
- Die unbekannten Koeffizienten der Ersatzfunktionen y(x) des Metamodells werden mittels partieller Ableitungen durch definierte Abtastung des echten Modells berechnet. Dabei entstehen nur geringe Zufallsfehler durch die unterschiedliche Ordnung von echtem Modell und verwendeter Ersatzfunktion. Das äußert sich darin, dass kleine Änderungen der Nennwerte durch die Verschiebung der Abtaststellen zu geringen Sprüngen in den Stichproben-Ergebnissen führen.
- Die Verteilungen der Ausgangsgrößen werden abschließend mittels einer allgemeinen Lambdaverteilung durch den Vergleich mit einer bekannten Momenttabelle approximiert. Diese Berechnung erfolgt also vollkommen analytisch und deterministisch ohne Zufallszahlen.
Beachte:
"Geringes numerisches Rauschen" ist nicht gleichzusetzen mit "hoher Genauigkeit" der Berechnungsergebnisse!
- Da die auf Basis der Momenten-Methode gebildete Zielfunktion hinreichend glatt ist, können wir das Hooke-Jeeves-Verfahren verwenden.
- Eine Anzahl von 100 Optimierungsschritte könnte ausreichend sein und kann nachträglich problemlos verändert werden.
Entwurfsparameter (Nennwerte)
Die mittels Nennwert-Optimierung ermittelten "optimalen" Nennwerte sollen so verändert werden, dass trotz aller Streuungen eine Versagenswahrscheinlichkeit=0 entsteht:
- Beim Hooke-Jeeves-Verfahren steigt die Anzahl der erforderlichen Tastschritte proportional mit der Anzahl der Entwurfsgrößen.
- Jeder Tastschritt des Optimierungsverfahrens besteht aber jetzt aus den n Tastschritten der probabilistischen Simulation (Stichprobenberechnung).
Die Reduzierung des Suchraumes hat deshalb bei der zuverlässigkeitsbasierten Optimierung eine wesentlich größere Bedeutung als bei der bisherigen Nennwert-Optimierung:
- Da wir nur noch 5 Entwurfsgrößen in die Nennwert-Optimierung einbezogen, kann man im Beispiel den Suchraum nicht mehr wesentlich reduzieren.
- Eine Möglichkeit bietet R_Abschalt. Infolge der vorgegebenen Normreihe kann man den Schutzwiderstand nur in recht groben Schritten ändern. Da der bisherige Wert schon günstig ist, sollte man ihn beibehalten. Die Änderung der freien Nennwerte erfolgt dann unter Berücksichtigung des aktuellen Wertes von R_Abschalt!
- Wir benötigen somit für dieses Experiment nur vier variable Nennwerte:
d_Anker : 5...15 mm w_Spule : 100...1000 R20_Spule: 0.1...10 Ohm k_Feder : 1...100 N/mm (kF_Mitte im Workflow umbenennen!)
- Mit diesen Entwurfsparametern beginnen wir den Umbau des Workflows:
- Für die Spulentemperatur T_Spule (T_Mitte im Workflow umbenennen!) benutzen wir als Konstante den Worst-Case-Wert von 1xx°C (xx=Teilnahme-Nr.).
- Folgende Startschrittweiten für die Abtastung der Zielfunktion haben sich als günstig erwiesen:
d_Anker : 0.01 mm w_Spule : 1 (Genauigkeit=1) R20_Spule: 0.01 Ohm k_Feder : 0.1 N/mm
Entwurfsparameter (Streuungen)
Die Streuungen bleiben weiterhin vorgegebene "konstante" Größen (Werte aus der vorherigen Etappe benutzen!).
Um die Bearbeitungszeit für diese Übungsaufgabe in Grenzen zu halten, beschränken wir uns auf 3 Streuungen. Diese erfordern nur 7 Abtastschritte pro Stichprobe. Wir löschen deshalb folgende Streuungen aus dem Experiment-Workflow:
- RS_Tol: Der Einfluss der Toleranz des Schutzwiderstands ist gering.
- T_Tol : Die Temperaturschwankungen haben nur geringen Einfluss auf das Antriebsverhalten. Der "ungünstigste" Fall wird durch den konstanten "Entwurfsparameter" mit dem Wert 1xx°C eingestellt.
Restriktionen
Wir müssen noch die für die restlichen Restriktionen im Workflow ergänzen:
L_Magnet ≤ 30 mm (Magnetlänge) dT_Draht ≤ (50+xx) K (Erwärmung) d_Draht = Norm-Drahtdurchmesser

Im Unterschied zur Nennwert-Optimierung muss man bei der zuverlässigkeitsbasierten Optimierung wesentlich mehr Sorgfalt auf die Konfiguration der Restriktionsgrößen legen:
- Bei der Nennwert-Optimierung wird nur überprüft, ob der aktuelle Wert der Restriktionsgröße im zulässigen Bereich liegt. Der zulässige Wertebereich wird durch Unter- und Obergrenze beschrieben.
- Bei der zuverlässigkeitsbasierten Optimierung muss jedoch überprüft werden, ob der gesamte aktuelle Streubereich der Restriktionsgröße im zulässigen Bereich liegt.
Für jede Restriktionsgröße kann bei der probabilistischen Simulation ein zulässiger Ausschuss angegeben werden:
- Das kann sinnvoll sein, wenn man z.B. bei der Fertigung anhand dieser Prüfgröße unzulässige Exemplare aussortiert. Das kann durchaus weniger Kosten verursachen, als eine extrem genauere Fertigung.
- Strebt man bei der Ausschuss-Minimierung eine Gesamtversagenswahrscheinlichkeit von Null an, so erlangen bei sehr kleinen Teilversagenswahrscheinlichkeiten die numerischen Fehler bei der Simulation der Ausgangsstreuungen eine wachsende Bedeutung. Um dieses "numerische Rauschen" zu eliminieren, kann man einen sehr kleinen zulässigen Ausschusswert angeben, z.B. 0.3%.
Dieses Problem des numerischen Rauschens bei sehr kleinen Teilversagenswahrscheinlichkeiten soll nun näher betrachtet werden. :
- Im allgemeinen besitzt eine Streuung keine scharfen Grenzen. In OptiY ist die Toleranzbreite T als der 6-fache Wert der Standard-Abweichung σ definiert. Damit erfasst man z.B. bei einer Normalverteilung 99,7% aller möglichen Werte der streuenden Restriktionsgröße.
- An den Diagrammen der Verteilungsdichte und der Verteilungsfunktion werden für die X-Achsen unterschiedliche Grenzwerte eingetragen. Bei genauerem Hinschauen erkennt man, dass die Funktionswerte auch außerhalb dieser Grenzen z.B. noch nicht Null sind:
- Die Funktionen werden bei der Darstellung abgeschnitten, wenn ihr Funktionswert den Wert=Ymax*0.0067 unterschreitet (Ymax = maximaler Funktionswert).
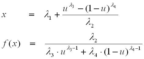
- Die Streuungen der Ausgangsgrößen werden bei der Momenten-Methode als allgemeine Lambda-Verteilung approximiert. Eine Lambda-Verteilung besitzt immer definierte Grenzwerte. Die Quantilfunktion x und Dichtefunktion f(x) lauten:
- Dabei ist 0<u<1. Durch die Parameter Lambda1, Lambda2, Lambda3 und Lambda4 kann man eine beliebige Verteilungsfunktion abbilden. Dabei ist Lambda1 der Mittelpunkt und Lambda2 die Skalierung der Verteilung. Lamda3 und Lambda4 sind die Formfaktoren. Bei symmetrischer Verteilung ergibt sich Lambda3=Lambda4. Umtauschen von Lambda3 und Lambda4 bedeutet eine Spiegelung der Verteilung um den Mittelpunkt. Der Toleranzwert ist intern festgesetzt auf T=2/Lambda2 und der Mittelwert ist dabei immer der zugehörige Nennwert der Streugröße (Toleranzmittenwert).
- Im folgenden Bild sind beispielhaft einige Verteilungsdichtefunktionen dargestellt:
- Zusätzlich zum Fehler des Ersatzmodells (z.B. Polynomansatz 2. Ordnung) resultiert ein weiterer Fehler des Moment-Verfahrens daraus, dass mit dieser allgemeinen Lambdafunktion die wirkliche Streuung der Ausgangsgrößen natürlich nie exakt abgebildet werden kann. Der relative Fehler der Approximation steigt an der Rändern der Toleranzbreite.
Für das sichere Konvergieren des Gesamtversagens gegen den Wert=0 hat sich folgende Vorgehensweise bewährt:
- Für alle Restriktionsgrößen trägt man zulässiger Ausschuss = 0.003 ein. Das entspricht mit 0,3% dem Anteil der Lösungen, der bei einer Normalverteilung außerhalb der Toleranz T=6·σ liegt.
- Ein Ausschuss kleiner 0.3% ist praktisch irrelevant, weil er nur statistische Rechnen- und Approximationsfehler beinhaltet. Deshalb sollten kleinere Teilversagenswahrscheinlichkeiten bei der Berechnung des Gesamtversagens nicht berücksichtigt werden.
- Diesen Wert von 0.003 kann man durch Beobachtung der Teilversagenswahrscheinlichkeiten während der Ausschuss-Minimierung bei Bedarf noch präzisieren. Unter Umständen ist ein etwas höherer Wert dafür erforderlich.
- Das Gütekriterium "Versagen" ist nur ein Maß für das Gesamtversagen der Lösung. Der Wert ergibt sich als Summe der gewichteten Teilversagenswahrscheinlichkeiten. Im Normalfall sollte man für alle Restriktione Gewichtsfaktor=1 setzen.
Gütekriterien
Strafe:
- Wird automatisch als Gütekriterium ergänzt, weil Restriktionen definiert sind.
- Die "Hierarchische Optimierung wirkt dann wie folgt:
- Zuerst werden Nennwerte (=Toleranzmittenwerte) gesucht, welche ohne Berücksichtigung der Streuungen alle Forderungen erfüllen.
- Erst dann werden unter Berücksichtigung der Versagenswahrscheinlichkeit die Nennwerte so verändert, dass das Versagen kleiner wird.
Versagen:
- Wird automatisch ergänzt, weil Streuungen als Entwurfsparameter definiert sind.
- Es handelt sich um ein Maß für die Gesamt-Versagenswahrscheinlichkeit einer Stichprobe:
- Für jede Restriktionsgröße werden Teilversagenswahrscheinlichkeiten ermittelt.
- Der Wert für das "Versagen" ergibt sich als Summe der gewichteten Teilversagenswahrscheinlichkeiten. Damit ist bei einer Ausschussquote=0 auch Versagen=0.
--->>> Hier geht es bald weiter!!!



